Steam drum levels can make or break plant performance. When the balance is off, efficiency drops, risks rise, and operators are left fighting the process instead of controlling it. Effective drum level control protects equipment, stabilizes output, and keeps operations running safely.
Introduction
In boiler systems, precise steam drum level control is critical: too much water risks carryover into the steam header, while too little threatens dry-out and tube damage. A modern, flexible controller like the Yokogawa YS1700 helps maintain optimal levels across changing loads and pressures.

Executive Summary
Effective drum level control ensures boiler safety, maximizes efficiency, and stabilizes steam generation — all while adapting to dynamic steam demand. By implementing smart control strategies, plant operators can reduce maintenance, avoid operational disruptions, and extend the life of critical boiler assets.
Application
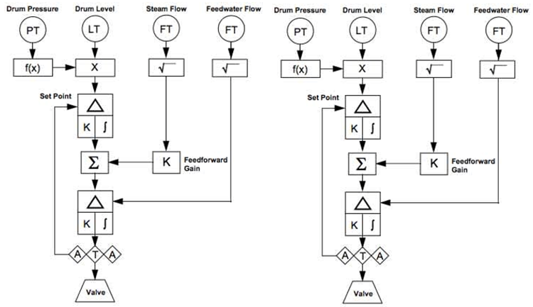
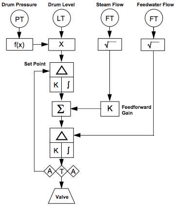
In industrial and utility boilers, the steam drum serves as a critical buffer where steam is separated from water. Makeup feedwater must be added in sync with steam demand so that the drum level stays within a narrow safe band. The YS1700 dual-loop programmable controller enables advanced level control strategies — from single-element (level only) to two- and three-element (adding steam flow and drum pressure) schemes.
Challenges
Swell & Shrink Effects
- During high steam demand (“swell”), steam bubbles expand beneath the water surface, raising the apparent water level without added mass.
- Under lower load (“shrink”), bubbles collapse, lowering the level even though mass hasn’t changed.
- These density-based fluctuations can destabilize conventional level control loops.

Pressure Variations
- The drum’s internal pressure changes with steam demand. A differential pressure (DP) level transmitter may misread level if pressure compensation isn’t applied.
Control Strategy Selection
- Small boilers may use a simple single-element loop, but larger or more variable-load systems often benefit from more complex strategies (two-element or three-element).
- In systems with shared feedwater lines or fluctuating feedwater pressure, more advanced control (three-element) is needed to maintain stability.

Solution
To bring stability back to drum level management, the YS1700 programmable controller takes a traditionally complex control challenge and makes it predictable, automated, and highly reliable. By combining redundancy, advanced control logic, and intuitive operator tools, the system delivers consistent, safe, and efficient drum level performance across all load conditions.

Steam Drum Control Panel Inspection
Differential Pressure Level Measurement
- Uses a DP transmitter to sense drum level. The high side taps steam pressure + reference leg; the low side senses drum pressure, water column, and steam column above the level tap.
- Because it’s a DP measurement, boiler drum pressure cancels out, isolating the actual water column effect.
- Optional drum pressure measurement can be used to correct level signal via gain and bias.
Control Strategies
- Single-Element Control: Level alone drives makeup water valve via a P+I loop — useful for small, stable-load boilers.
- Two-Element Control: Combines level feedback with steam flow feedforward to anticipate water demand and respond faster.
- Three-Element Control: Adds a cascade feedwater flow loop plus drum pressure compensation; ideal for high-performance systems. The level controller output sets the feedwater flow controller’s set point.
Platform Features
The YS1700 supports up to 5 analog inputs, 3 analog outputs, and multiple discrete I/O for flexible control architectures.
On-screen data via LOOP and TREND views lets operators monitor level, feedwater rate, and pressure in real time.
Includes built-in “hard manual” backup to ensure safe control if digital control fails.
Supports peer-to-peer digital communications or integration with SCADA/HMI via RS-485, enabling remote control and trending.
Conclusion
The Yokogawa YS1700 controller provides a powerful, flexible, and cost-effective way to manage steam drum level control — tackling the classic challenges of swell/shrink dynamics and pressure fluctuations with precision. Whether you run a small boiler or a large, multi-boiler plant, using advanced control strategies in YS1700 gives you better stability, safety, and performance.
Key Benefits
- Improved Level Stability: Compensation for swell/shrink and pressure variation prevents level drift and reduces risk.
- Flexible Control Strategies: Single-, two-, or three-element control lets you tailor the control logic to your boiler’s size and dynamics.
- Reduced Manual Intervention: Smart control and trend feedback minimize operator adjustments and manual tuning.
- Reliable & Redundant: Dual-loop architecture, “hard manual” backup, and peer-to-peer comms ensure continuity.
- Scalable Integration: Easily integrates with DCS, SCADA, or HMI systems for unified boiler control.
- Cost-Effective Upgrade: Replacing older controllers with YS1700 delivers a modern, programmable solution without overhauling your entire control system.

YS1700 Programmable Indicating Controller
Related Industries
-
Power Generation
Since the 1970s, Yokogawa has partnered with power producers to squeeze every watt of efficiency and resilience from assets old and new. Today our 30,000+ CENTUM control systems and 230 service hubs span 100 countries, uniting domain know‑how, ISASecure™‑certified automation, and real‑time analytics. Whether you run a single gas turbine or a continent‑wide renewable fleet, we deliver the insight, safety, and speed you need to thrive in a decarbonizing grid.
Related Products & Solutions
-
Control
Yokogawa offers automation and control strategies, architectures, and solutions for every application size and complexity.
-
Steam Management
Yokogawa provides world-class instrumentation and wireless solutions that help you take full control of your steam systems.
-
YS1700
Programmable Indicating Controller with high reliability for multiple applications
Have Questions?
Contact a Yokogawa Expert to learn how we can help you solve your challenges.